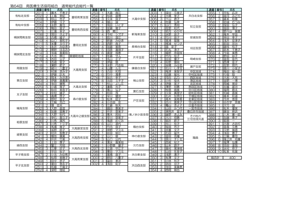
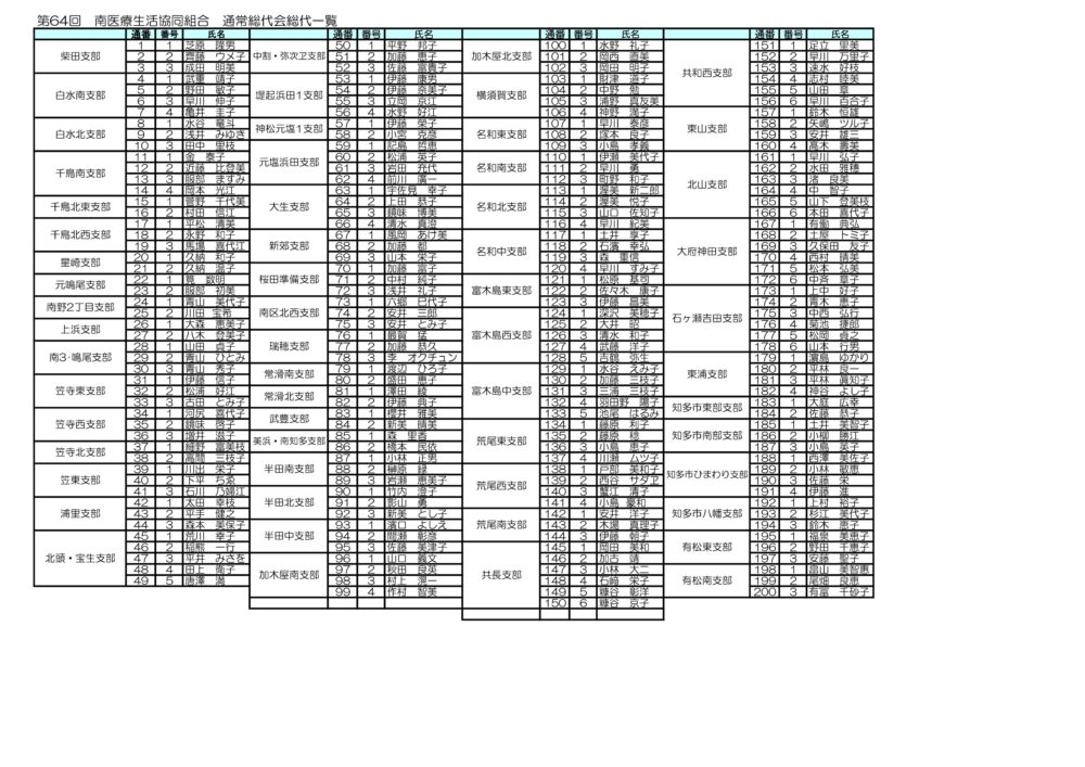
お知らせ TOP > お知らせ, 電子公告 > 第64回南医療生活協同組合通常総代会総代一覧(訂正版) 2026/04/18 第64回南医療生活協同組合通常総代会総代一覧(訂正版) << 前の記事へ 一覧に戻る カレンダー 2026年4月 月 火 水 木 金 土 日 12345 6789101112 13141516171819 20212223242526 27282930 « 3月 最近の投稿 第64回南医療生活協同組合通常総代会総代一覧(訂正版) 健康の友3月号 健康の友 2月号 健康の友 1月号 2026年度健康づくりフェスティバルご案内 アーカイブ 2026年4月 2026年3月 2026年2月 2026年1月 2025年12月